We have a short video series on finite state automata available here.
Here's a map of a commuter train system for the town of Trainsylvania. The trouble is, it doesn't show where the trains go – all you know is that there are two trains from each station, the A-train and the B-train. The inhabitants of Trainsylvania don't seem to mind this – it's quite fun choosing trains at each station, and after a while you usually find yourself arriving where you intended.
You can travel around Trainsylvania yourself using the following interactive. You're starting at the Airport station, and you need to find your way to Harbour station. At each station you can choose either the A-train or the B-train – press the button to find out where it will take you. But, like the residents of Trainsylvania, you'll probably want to start drawing a map of the railway, because later you might be asked to find your way somewhere else. If you want a template to draw on, you can print one using this link.
Did you find a sequence of trains to get from the Airport to the Harbour? You can test it by typing the sequence of trains in the following interactive. For example, if you took the A-train, then the B-train, then the A-train, type in ABA.
If you take the trains:
Can you find a sequence that takes you from the Airport to the Harbour? Can you find another sequence, perhaps a longer one? Suppose you wanted to take a really long route... can you find a sequence of 12 hops that would get you there? 20 hops?
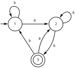
Here's another map. It's for a different city, and the stations only have numbers, not names (but you can name them if you want).
Suppose you're starting at station 1, and need to get to station 3 (it has a double circle to show that's where you're headed).
The map that we use here, with circles and arrows, is actually a powerful idea from computer science called a finite state automaton, or FSA for short. Being comfortable with such structures is a useful skill for computer scientists.
The name finite state automaton (FSA) might seem strange, but each word is quite simple. "Finite" just means that there is a limited number of states (such as train stations) in the map. The "state" is just as another name for the train stations we were using. "Automaton" is an old word meaning a machine that acts on its own, following simple rules (such as the cuckoo in a cuckoo clock).
Sometimes an FSA is called a finite state machine (FSM), or even just a "state machine". By the way, the plural of "automaton" can be either "automata" or "automatons". People working with formal languages usually use finite state automata, but "FSAs" for short.
An FSA isn't all that useful for train maps, but the notation is used for many other purposes, from checking input to computer programs to controlling the behaviour of an interface. You may have come across it when you dial a telephone number and get a message saying "Press 1 for this … Press 2 for that … Press 3 to talk to a human operator." Your key presses are inputs to a finite state automaton at the other end of the phone line. The dialogue can be quite simple, or very complex. Sometimes you are taken round in circles because there is a peculiar loop in the finite state automaton. If this occurs, it is an error in the design of the system – and it can be extremely frustrating for the caller!
Another example is the remote control for an air conditioning unit. It might have half a dozen main buttons, and pressing them changes the mode of operation (e.g. heating, cooling, automatic). To get to the mode you want you have to press just the right sequence, and if you press one too many buttons, it's like getting to the train station you wanted but accidentally hopping on one more train. It might be a long journey back, and you may end up exploring all sorts of modes to get there! If there's a manual for the controller, it may well contain a diagram that looks like a finite state automaton. If there isn't a manual, you may find yourself wanting to draw a map, just as for the trains above, so that you can understand it better.
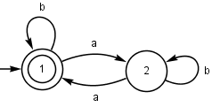
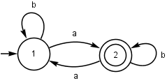
The map that we used above uses a standard notation. Here's a smaller one:
Notice that this map has routes that go straight back to where they started! For example, if you start at 1 and take route "b", you immediately end up back at 1. This might seem pointless, but it can be quite useful. Each of the "train stations" is called a state, which is a general term that just represents where you are after some sequence of inputs or decisions. What it actually means depends on what the FSA is being used for. States could represent a mode of operation (like fast, medium, or slow when selecting a washing machine spin cycle), or the state of a lock or alarm (on, off, exit mode), or many other things. We’ll see more examples soon.
One of the states has a double circle. By convention, this marks a "final" or "accepting" state, and if we end up there we've achieved some goal. There's also a "start" state – that's the one with an arrow coming from nowhere. Usually the idea is to find a sequence of inputs that gets you from the start state to a final state. In the example above, the shortest input to get to state 2 is "a", but you can also get there with "aa", or "aba", or "baaaaa". People say that these inputs are "accepted" because they get you from the start state to the final state – it doesn’t have to be the shortest route.
What state would you end up in if the input was the letter "a" repeated 100 times?
Of course, not all inputs get you to state 2. For example, "aab" or even just "b" aren't accepted by this simple system. Can you characterise which inputs are accepted?
Here's an interactive that follows the rules of the FSA above. You can use it to test different inputs.
Here's another FSA, which looks similar to the last one but behaves quite differently. You can test it in the interactive below.
Work out which of the following inputs it accepts. Remember to start in state 1 each time!
Can you state a general rule for the input to be accepted?
To keep things precise, we'll define four further technical terms. One is the alphabet, which is just a list of all possible inputs that might happen. In the last couple of examples the alphabet has consisted of the two letters "a" and "b", but for an FSA that is processing text typed into a computer, the alphabet will have to include every symbol on the keyboard.
The connections between states are called transitions, since they are about changing state. The sequence of characters that we input into the FSA is often called a string (it's just a string of letters), and the set of all strings that can be accepted by a particular FSA is called its language. For the FSA in the last example, its language includes the strings "a", "aaa", "bab", "ababab", and lots more, because these are accepted by it. However, it does not include the strings "bb" or "aa".
The language of many FSAs is big. In fact, the ones we've just looked at are infinite. You could go on all day listing patterns that they accept. There's no limit to the length of the strings they can accept.
That's good, because many real-life FSA's have to deal with "infinite" input. For example, the diagram below shows the FSA for the spin speed on a washing machine, where each press of the spin button changes the setting.
It would be frustrating if you could only change the spin setting 50 times, and then it stopped accepting input ever again. If you want, you could switch from fast to slow spin by pressing the spin button 3002 times. Or 2 times would do. Or 2 million times (try it if you're not convinced).
The following diagram summarizes the terminology we have introduced. Notice that this FSA has two accepting states. You can have as many as you want, but only one start state.
For this FSA, the strings "aa" and "aabba" would be accepted, but "aaa" and "ar" wouldn't. By the way, notice that we often put inverted commas around strings to make it clear where they start and stop. Of course, the inverted commas aren't part of the strings. Notice that "r" always goes back to state 1 – if it ever occurs in the input then it's like a reset.
Sometimes you'll see an FSA referred to as a finite state machine, or FSM, and there are other closely related systems with similar names. We'll mention some later in the chapter.
Now there's something we have to get out of the way before going further. If we're talking about which strings of inputs will get you into a particular state, and the system starts in that state, then the empty string – that is, a string without any letters at all – is one of the solutions! For example, here's a simple finite state automaton with just one input (button a) that represents a strange kind of light switch. The reset button isn't part of the FSA; it’s just a way of letting you return to the starting state. See if you can figure out which patterns of input will turn the light on:
Have you worked out which sequences of button presses turn on the light? Now think about the shortest sequence from a reset that can turn it on.
Since it's already on when it has been reset, the shortest sequence is zero button presses. It's hard to write that down (although you could use ""), so we have a symbol especially for it, which is the Greek letter epsilon: . You'll come across quite often with formal languages.
It can be a bit confusing. For example, the language (that is, the list of all accepted inputs) of the FSA above includes "aaa", "aaaaaa", and . If you try telling someone that "nothing" will make the light come on that could be confusing – it might mean that you could never turn the light on – so it's handy being able to say that the empty string (or ) will turn the light on. There are different kinds of "nothing", and we need to be precise about which one we mean!
Here’s the FSA for the strange light switch. You can tell that is part of the language because the start state is also a final state (in fact, it's the only final state). Actually, the switch isn't all that strange – data projectors often require two presses of the power button, to avoid accidentally turning them off.
An important part of the culture of computer science is always to consider extreme cases. One kind of extreme case is where there is no input at all: what if a program is given an empty file, or your database has zero entries in it? It's always important to make sure that these situations have been thought through. So it's not surprising that we have a symbol for the empty string. Just for variety, you'll occasionally find some people using the Greek letter lambda () instead of to represent the empty string.
And by the way, the language of the three-state FSA above is infinitely large because it is the set of all strings that contain the letter "a" in multiples of 3, which is {, aaa, aaaaaa, aaaaaaaaa, ...}. That's pretty impressive for such a small machine.
While we're looking at extremes, here's another FSA to consider. It uses "a" and "b" as its alphabet.
Will it accept the string "aaa"? Or "aba"? Or anything of 3 characters or more?
As soon as you get the third character you end up in state 4, which is called a trap state because you can't get out. If this was the map for the commuter train system we had at the start of this section it would cause problems, because eventually everyone would end up in the trap state, and you'd have serious overcrowding. But it can be useful in other situations – especially if there's an error in the input, so no matter what else comes up, you don't want to go ahead.
For the example above, the language of the FSA is any mixture of "a"s and "b"s, but only two characters at most. Don't forget that the empty string is also accepted. It's a very small language; the only strings in it are: {, a, b, aa, ab, ba, bb}.
Here's another FSA to consider:
It's fairly clear what it will accept: strings like "ab", "abab", "abababababab", and, of course . But there are some missing transitions: if you are in state 1 and get a "b" there's nowhere to go. If an input cannot be accepted, it will be rejected, as in this case. We could have put in a trap state to make this clear:
But things can get out of hand. What if there are more letters in the alphabet? We'd need something like this:
So, instead, we just say that any unspecified transition causes the input to be rejected (that is, it behaves as though it goes into a trap state). In other words, it's fine to use the simple version above, with just two transitions.
Now that we've got the terminology sorted out, let’s explore some applications of this simple but powerful "machine" called the finite state automaton.
Finite state automata come up a lot in the development of computer software, but also in the design of electronics.
Finite state automata are used a lot in the design of digital circuits (like the electronics in a hard drive) and embedded systems (such as burglar alarms or microwave ovens). Anything that has a few buttons on it and gets into different states when you press those buttons (such as alarm on/off, high/med/low power) is effectively a kind of FSA.
With such gadgets, FSAs can be used by designers to plan what will happen for every input in every situation, but they can also be used to analyse the interface of a device. If the FSA that describes a device is really complicated, it's a warning that the interface is likely to be hard to understand. For example, here's an FSA for a microwave oven, though a lot of details have been omitted for clarity. It reveals that, for example, you can't get from Low Power to High Power without going through the Timer. Restrictions like this will be very frustrating for a user. The user has to set a timer for Low Power, then set it to High Power and set another timer for that. Once you know this sequence it's easy, but the designer should think about whether it's necessary to force the user into that sort of sequence. These sorts of issues become clear when you look at the FSA. But we're straying into the area of Human Computer Interaction! This isn't surprising because most areas of computer science end up relating to each other.
As we shall see in the next section, one of the most valuable uses of the FSA in computer science is for checking input to computers, whether it's a value typed into a dialogue box, a program given to a compiler, or some search text to be found in a large document. There are also data compression methods that use FSAs to capture patterns in the data being compressed, and variants of FSA are used to simulate large computer systems to see how best to configure it before spending money on actually building it.
What's the biggest FSA in the world, one that lots of people use every day? It's the World-Wide Web. Each web page is like a state, and the links on that page are the transitions between them. Back in the year 2000 the web had a billion pages. In 2008 Google Inc. declared they had found a trillion different web page addresses. That’s a lot. A book with a billion pages would be 50 km thick. With a trillion pages, its thickness would exceed the circumference of the earth.
But the web is just a finite state automaton. And in order to produce an index for you to use, search engine companies like Google have to examine all the pages to see what words they contain. They explore the web by following all the links, just as you did in the train travelling exercise. Only, because it's called the "web," exploring is called "crawling" – like spiders do.
This activity involves constructing and testing your own FSA, using free software that you can download yourself. Before doing that, we'll look at some general ways to create an FSA from a description. If you want to try out the examples here on a live FSA, read the next two sections about using Exorciser and JFLAP respectively, which allow you to enter FSAs and test them.
A good starting point is to think of the shortest string that is needed for a particular description. For example, suppose you need an FSA that accepts all strings that contain an even number of the letter "b". The shortest such string is , which means that the starting state must also be a final state, so you can start by drawing this:
If instead you had to design an FSA where the shortest accepted string is "aba", you would need a sequence of 4 states like this:
Then you need to think what happens next. For example, if we are accepting strings with an even number of "b"s, a single "b" would have to take you from the start state to a non-accepting state:
But another "b" would make an even number, so that's acceptable. And for any more input the result would be the same even if all the text to that point hadn't happened, so you can return to the start state:
Usually you can find a "meaning" for a state. In this example, being in state 1 means that so far you've seen an even number of "b"s, and state 2 means that the number so far has been odd.
Now we need to think about missing transitions from each state. So far there's nothing for an "a" out of state 1. Thinking about state 1, an "a" doesn't affect the number of "b"s seen, and so we should remain in state 1:
The same applies to state 2:
Now every state has a transition for every input symbol, so the FSA is finished. You should now try some examples to check that an even number of "b"s always brings it to state 1.
Get some practice doing this yourself! If you prefer, here are instructions for two different programs that allow you to enter and test FSAs.
This panel shows how to use some educational software called "Exorciser" (The next panel introduces an alternative called JFLAP which is a bit harder to use). Exorciser has facilities for doing advanced exercises in formal languages; but here we'll use just the simplest ones.
Exorciser can be downloaded here.
When you run it, select "Constructing Finite Automata" (the first menu item); click the "Beginners" link when you want a new exercise. The challenge in each FSA exercise is the part after the | in the braces (i.e. curly brackets). For example, in the diagram below you are being asked to draw an FSA that accepts an input string w if "w has length at least 3". You should draw and test your answer, although initially you may find it helpful to just click on "Solve exercise" to get a solution, and then follow strings around the solution to see how it works. That’s what we did to make the diagram below.
To draw an FSA in the Exorciser system, right-click anywhere on the empty space and you'll get a menu of options for adding and deleting states, choosing the alphabet, and so on. To make a transition, drag from the outside circle of one state to another (or out and back to the state for a loop). You can right-click on states and transitions to change them. The notation "a|b" means that a transition will be taken on "a" or "b" (it's equivalent to two parallel transitions).
If your FSA doesn't solve their challenge, you'll get a hint in the form of a string that your FSA deals with incorrectly, so you can gradually fix it until it works. If you're stuck, click "Solve exercise". You can also track input as you type it: right-click to choose that option.
The section after next gives some examples to try. If you're doing this for a report, keep copies of the automata and tests that you do. Right-click on the image for a "Save As" option, or else take screenshots of the images.
Another widely used system for experimenting with FSAs is a program called JFLAP (download it here). You can use it as an alternative for Exorciser if necesary. You'll need to follow instructions carefully as it has many more features than you'll need, and it can be hard to get back to where you started.
Here's how to build an FSA using JFLAP. As an example, we'll use the following FSA:
To build this, run JFLAP and:
If you need to change something, you can delete things with the delete tool (the skull icon). Alternatively, select the arrow tool and double-click on a transition label to edit it, or right-click on a state. You can drag states around using the arrow tool.
To watch your FSA process some input, use the "Input" menu (at the top), choose "Step with closure", type in a short string such as "abaa", and click "OK". Then at the bottom of the window you can trace the string one character at a time by pressing "Step", which highlights the current state as it steps through the string. If you step right through the string and end up in a final (accepting) state, the panel will come up green. To return to the Editor window, go to the "File" menu and select "Dismiss Tab".
You can run multiple tests in one go. From the "Input" menu choose "Multiple Run", and type your tests into the table, or load them from a text file.
You can even do tests with the empty string by leaving a blank line in the table, which you can do by pressing the "Enter Lambda" button.
There are some FSA examples in the next section. If you're doing this for a report, keep copies of the automata and tests that you do (JFLAP's "File" menu has a "Save Image As..." option for taking snapshots of your work; alternatively you can save an FSA that you've created in a file to open later).
Using Exorciser or JFLAP (or just draw it by hand if you prefer), construct an FSA that takes inputs made of the letters "a" and "b", and accepts the input if it meets one of the following requirements. You should build a separate FSA for each of these challenges.
For the FSAs that you construct, check that they accept valid input, but also make sure they reject invalid input.
Checking that invalid input is rejected is important – otherwise a you could make an FSA that accepts any input, and it will pass on all tests. Think of examples that exercise different parts of the FSA to show that it doesn't give false positive or false negative results.
Here are some more sequences of characters that you can construct FSAs to detect. The input alphabet is more than just "a" and "b", but you don't need to put in a transition for every possible character in every state, because an FSA can automatically reject an input if it uses a character that you haven't given a transition for. Try doing two or three of these:
Try to find common elements between accepted strings. For example: in English, days of the week all end in "day". However, be wary of oversimplifying your FSAs to take advantage of this, as it could lead to invalid input being accepted.
A classic example of an FSA is an old-school vending machine that only takes a few kinds of coins. Suppose you have a machine that only takes 5 and 10 cent pieces, and you need to insert 30 cents to get it to work. The alphabet of the machine is the 5 and 10 cent coin, which we call F and T for short. For example, TTT would be putting in 3 ten cent coins, which would be accepted. TFFT would also be accepted, but TFFF wouldn't. Can you design an FSA that accepts the input when 30 cents or more is put into the machine? You can make up your own version for different denominations of coins and required total.
What it means to be in each state is important. Try giving meaningful labels to your states, instead of just 1,2,3 or A,B,C.
If you've worked with binary numbers, see if you can figure out what this FSA does. Try each binary number as input: 0, 1, 10, 11, 100, 101, 110, etc.
Can you work out what it means if the FSA finishes in state q1? State q2?
There are lots of systems around that use FSAs. You could choose a system, explain how it can be represented with an FSA, and show examples of sequences of input that it deals with. Examples are:
Drawing an FSA using circles and arrows is a good representation for people to use, but in computer programs it’s easier to use a lookup table.
For example, for this FSA:
The following table shows the transitions. For example, if you look up State 2 in the b column, it shows that the transition will go to state 1.
In a computer program, these tables can be stored in an array or list, and the FSA is implemented using a simple loop that looks up the current state and input symbol to work out what the current state will change to.
For example, here is a quick and simple program that implements the FSA in Scratch:
And here is a program for the same FSA in Python:
START_STATE = 1 transition = [] transition.append({}) # Creates an unused state 0 # Create a new state transition.append({}) # Transition from state 0 on 'a' goes to state 1 transition[1]['a'] = 1 # Transition from state 0 on 'b' goes to state 0 transition[1]['b'] = 2 transition.append({}) transition[2]['a'] = 2 transition[2]['b'] = 1 state = START_STATE while True: symbol = input("Enter next symbol: ") print("Going from state", state, "to...") state = transition[state][symbol] print(" ... ", state)
The above programs could be improved a lot to apply to a wider range of inputs and states, but they illustrate how simple it is to program an FSA, and therefore why they are popular for working with regular expressions.
Mathematically this can be written more precisely by listing five elements:
These five elements are written as a “5-tuple” in the order .
Actually it is Greek! The symbol is the Greek letter sigma. The symbol is the Greek letter delta.
So the very precise notation for the FSA above would be